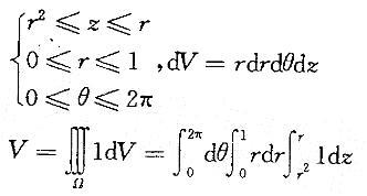
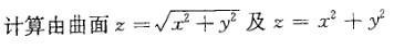
所围成的立体体积的三次积分为:

作者: tihaiku 人气: - 评论: 0
问题 所围成的立体体积的三次积分为:
选项
答案 A
解析 提示:画出图形。 求出投影区域Dxy 写出在柱面坐标系下计算立体体积的三次积分表示式。

相关内容:立体,体积

猜你喜欢

发表评论
更多 网友评论0 条评论)
暂无评论

Copyright © 2012-2014 恰考网 Inc. 保留所有权利。 Powered by tikuer.com

页面耗时0.0283秒, 内存占用1.04 MB, Cache:redis,访问数据库16次