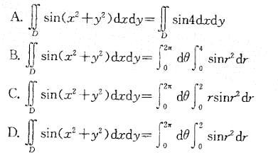
设D为圆域x2+y2≤4,则下列式子中哪一式是正确的?

作者: tihaiku 人气: - 评论: 0
问题 设D为圆域x2+y2≤4,则下列式子中哪一式是正确的?
选项
答案 C
解析 提示:化为极坐标系下的二次积分,面积元素为rdrdθ,x=rcosθ,y=rsinθ代入计算。

相关内容:圆域,式子,中哪

猜你喜欢

发表评论
更多 网友评论0 条评论)
暂无评论

Copyright © 2012-2014 恰考网 Inc. 保留所有权利。 Powered by tikuer.com

页面耗时0.0317秒, 内存占用1.04 MB, Cache:redis,访问数据库19次