则S(-π/2)的值是: A. -π/2 B.(3/4)π C.-(3/4)π D. 0

作者: tihaiku 人气: - 评论: 0
问题 则S(-π/2)的值是: A. -π/2 B.(3/4)π C.-(3/4)π D. 0
选项
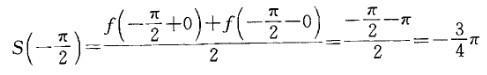
答案 C
解析 提示:将函数奇延拓,并作周期延拓。 画出在(-π,π] 函数的图形 x=-π/2为函数的间断点 由迪利克雷收敛定理:
  • 上一篇:
  • 下一篇:

猜你喜欢

发表评论
更多 网友评论0 条评论)
暂无评论

Copyright © 2012-2014 恰考网 Inc. 保留所有权利。 Powered by tikuer.com

页面耗时0.0298秒, 内存占用1.01 MB, Cache:redis,访问数据库16次