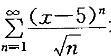
幂级数在其收敛区间的两个端点处如何敛散? A.全是发散的 B.全是收敛的 C.左端点收敛,右端点发散 D.左端点发散,右端点收敛

作者: tihaiku 人气: - 评论: 0
问题 幂级数在其收敛区间的两个端点处如何敛散? A.全是发散的 B.全是收敛的 C.左端点收敛,右端点发散 D.左端点发散,右端点收敛
选项
答案 C
解析 提示:设x-5=z,化为级数求出R=1,即 z

相关内容:级数,收敛区,两个,端点,敛散,收敛

猜你喜欢

发表评论
更多 网友评论0 条评论)
暂无评论

Copyright © 2012-2014 恰考网 Inc. 保留所有权利。 Powered by tikuer.com

页面耗时0.0301秒, 内存占用1.04 MB, Cache:redis,访问数据库18次