曲线通过(1,1)点,且此曲线在[1,x]上所形成的曲边梯形面积的值等于该曲线终点的横坐标x与纵坐标y之比的两倍减去2,其中x>1,y>0。则当y x=1...

作者: tihaiku 人气: - 评论: 0
问题 曲线通过(1,1)点,且此曲线在[1,x]上所形成的曲边梯形面积的值等于该曲线终点的横坐标x与纵坐标y之比的两倍减去2,其中x>1,y>0。则当y x=1=1时的曲线方程为:
选项
答案 A
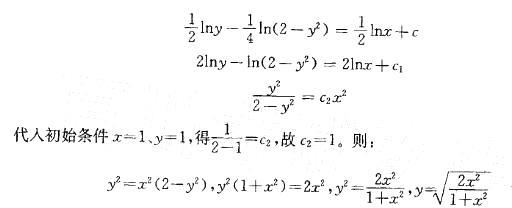
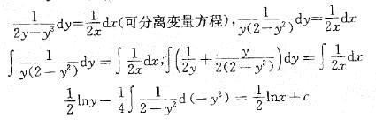
解析 提示:把方程变形,得到可分离变量的方程,求通解、特解。解法如下: y3=2(y-xy') ,y3=2y-2xy', 2xy'=2y-y3

相关内容:曲线,且此,曲边,梯形,面积,终点,横坐标,纵坐标,则当

猜你喜欢

发表评论
更多 网友评论0 条评论)
暂无评论

Copyright © 2012-2014 恰考网 Inc. 保留所有权利。 Powered by tikuer.com

页面耗时0.0400秒, 内存占用1.04 MB, Cache:redis,访问数据库20次