A. 0 B. 1 C.2 D. 3

作者: tihaiku 人气: - 评论: 0
问题 A. 0 B. 1 C.2 D. 3
选项
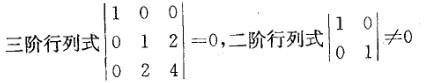
答案 C
解析 提示:可以利用矩阵秩的定义验证。 故r(A)=2。
  • 上一篇:
  • 下一篇:

猜你喜欢

发表评论
更多 网友评论0 条评论)
暂无评论

Copyright © 2012-2014 恰考网 Inc. 保留所有权利。 Powered by tikuer.com

页面耗时0.0371秒, 内存占用1.04 MB, Cache:redis,访问数据库20次