A. 1 B.2 C. 3 D.与a 的取值有关

作者: tihaiku 人气: - 评论: 0
问题 A. 1 B.2 C. 3 D.与a 的取值有关
选项
答案 B
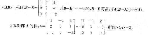
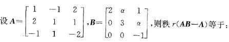
解析 提示:AB-A=A(B-E),由矩阵秩的性质可知,若A可逆,则r(AB)=r(B),若B可逆,则

相关内容:有关

猜你喜欢

发表评论
更多 网友评论0 条评论)
暂无评论

Copyright © 2012-2014 恰考网 Inc. 保留所有权利。 Powered by tikuer.com

页面耗时0.0368秒, 内存占用1.04 MB, Cache:redis,访问数据库18次