A. 1,0,1 B.1,1,2 C. -1,1,2 D. 1,-1,1

作者: tihaiku 人气: - 评论: 0
问题 A. 1,0,1 B.1,1,2 C. -1,1,2 D. 1,-1,1
选项
答案 C
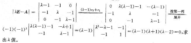
解析 提示:方法1:计算特征方程的根, λE-A =0,求λ值。 方法2:用此方法较简便。利用n阶矩阵A的特征值与矩阵A的行列式之间的关系,设矩阵A 的特征值为λ1,λ2,…,λn。①λ1*λ2*λ3...*λn= A ②λ1+λ2+...+λn=a11+a22 +…+ 选项B、D 不满足λ1+λ2+λ3≠a11+a22 +a33(因a11+a22 +a33=2) 选项A、C满足λ1+λ2+λ3=a11+a22 +a33=2。 但A 不满足λ1*λ2*λ3≠ A (因 A =-2),C满足λ1-λ2*λ3 =-2= A 。 故选项C成立。

猜你喜欢

发表评论
更多 网友评论0 条评论)
暂无评论

Copyright © 2012-2014 恰考网 Inc. 保留所有权利。 Powered by tikuer.com

页面耗时0.0322秒, 内存占用1.04 MB, Cache:redis,访问数据库19次