设总体X的概率密度为而x1,x2,...,xn 是来自总体的样本值,则未知参数θ的最大似然估计值是:

作者: tihaiku 人气: - 评论: 0
问题 设总体X的概率密度为而x1,x2,...,xn 是来自总体的样本值,则未知参数θ的最大似然估计值是:
选项
答案 C
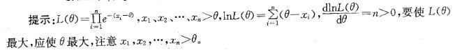
解析

相关内容:总体,概率,密度,未知,参数,似然

猜你喜欢

发表评论
更多 网友评论0 条评论)
暂无评论

Copyright © 2012-2014 恰考网 Inc. 保留所有权利。 Powered by tikuer.com

页面耗时0.0273秒, 内存占用1.04 MB, Cache:redis,访问数据库19次