两个小组生产同样的零件,第一组的废品率是2%,第二组的产量是第一组的2倍而废品率是3%。若将两组生产的零件放在一起,从中任取一件。经检查是废品,则这件废品...

作者: tihaiku 人气: - 评论: 0
问题 两个小组生产同样的零件,第一组的废品率是2%,第二组的产量是第一组的2倍而废品率是3%。若将两组生产的零件放在一起,从中任取一件。经检查是废品,则这件废品是第一组生产的概率为: A.15% B. 25% C.35% D.45%
选项
答案 B
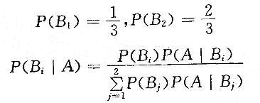
解析 提示:关键在于判断出2%和3%为条件概率。设A表示“取一件废品”,Bi表示“取一件第i厂的产品”,其中i=1、2。

相关内容:两个,小组,生产,零件,废品率,产量,两组,检查,废品

猜你喜欢

发表评论
更多 网友评论0 条评论)
暂无评论

Copyright © 2012-2014 恰考网 Inc. 保留所有权利。 Powered by tikuer.com

页面耗时0.0536秒, 内存占用1.04 MB, Cache:redis,访问数据库18次