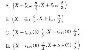
设总体X~N(u,σ2),u与σ2均未知,x1,x2,...,x9为其样本,样本方差,则u的置信度为0. 9的置信区间是:
相关内容:总体,未知,样本,方差,区间
- 设总体X~N(u,σ2),u与σ2均未知,x1,x2,...,x9为其样本或样本值,检验假设H0:
- 设(X1,X2,…,Xn)是抽自正态总体N(u,σ2)的一个容量为10的样本,
- 设总体X的概率密度为
未知参数,X1,X2, ...Xn是来自总体X的样本,则θ的矩估计量是:
- 设f(x)在积分区间上连续,
A.-1 B.0 C. 1 D. 2
- 在区间[0,2π]上,曲线:y=sinx与y=cosx之间所围图形的面积是:
- 若在区间(a,b)内,f'(x)=g'(x),则下列等式中错误的是:
A.f(x)=cg(x)
B.f(x)=g(x)+c
D. df(x...
- 曲线y=x3(x-4)既单增又向上凹的区间为:
A.(-∞,0) B. (0,+∞) C. (2,+∞) D. (3,+∞)
- 在区间[0,8]上,下列中哪个结论是正确的?
A.罗尔定理不成立 B.罗尔定理成立,且ζ=2
C.罗尔定理成立,且ζ=4 D.罗尔定理成立,且ζ=8
- 企业选择的薪酬政策必须和( )一致。A.市场上人力资源的平均价位
B.企业的薪资制度
C.企业的总体人力资源策略
D.企业经营目标?
- 企业选择的薪酬政策必须和( )一致。A.市场上人力资源的平均价位B.企业的薪资制度C.企业的总体人力资源策略D.企业经营目标