一平面简谐波表达式为y=-0.05sinπ(t-2x)(SI),则该波的频率v(Hz)、波速u(m/s)及波线上各点振动的振幅A(m)依次为:

作者: tihaiku 人气: - 评论: 0
问题 一平面简谐波表达式为y=-0.05sinπ(t-2x)(SI),则该波的频率v(Hz)、波速u(m/s)及波线上各点振动的振幅A(m)依次为:
选项
答案 C
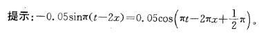
解析

相关内容:平面,谐波,表达式,-0.05sin,该波,频率,波速,振动,振幅

猜你喜欢

发表评论
更多 网友评论0 条评论)
暂无评论

Copyright © 2012-2014 恰考网 Inc. 保留所有权利。 Powered by tikuer.com

页面耗时0.0326秒, 内存占用1.04 MB, Cache:redis,访问数据库19次