—束自然光从空气投射到玻璃表面上(空气折射率为1),当折射角为30°时,反射光是完全偏振光,则此玻璃板的折射率等于:

作者: tihaiku 人气: - 评论: 0
问题 —束自然光从空气投射到玻璃表面上(空气折射率为1),当折射角为30°时,反射光是完全偏振光,则此玻璃板的折射率等于:
选项
答案 C
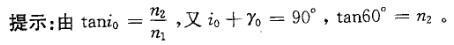
解析

相关内容:自然光,空气,玻璃,折射率,当折,反射,偏振光,玻璃板

猜你喜欢

发表评论
更多 网友评论0 条评论)
暂无评论

Copyright © 2012-2014 恰考网 Inc. 保留所有权利。 Powered by tikuer.com

页面耗时0.0310秒, 内存占用1.04 MB, Cache:redis,访问数据库17次