某容器中含氨0. 32mol、氧0.18mol、氮0. 70mol,总压强为100kPa时,氨、氧、氮的分压强分别为: A. (15、27、58)X10...

作者: tihaiku 人气: - 评论: 0
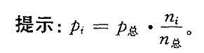
问题 某容器中含氨0. 32mol、氧0.18mol、氮0. 70mol,总压强为100kPa时,氨、氧、氮的分压强分别为: A. (15、27、58)X103Pa . B. (10、30、60)X103Pa C. (27、15、58)X103Pa C. (25、20、55)X103Pa
选项
答案 C
解析

猜你喜欢

发表评论
更多 网友评论0 条评论)
暂无评论

Copyright © 2012-2014 恰考网 Inc. 保留所有权利。 Powered by tikuer.com

页面耗时0.0323秒, 内存占用1.04 MB, Cache:redis,访问数据库20次