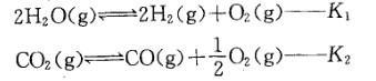
已知在相同条件下,下列反应的平衡常数为 则K3与K2、K1的关系为:

作者: tihaiku 人气: - 评论: 0
问题 已知在相同条件下,下列反应的平衡常数为 则K3与K2、K1的关系为:
选项
答案 B
解析 提示:当n个反应相加(或相减)得总反应时,总反应的平衡常数等于各个反应平衡常数的乘积(或商)。

相关内容:反应,常数,关系

猜你喜欢

发表评论
更多 网友评论0 条评论)
暂无评论

Copyright © 2012-2014 恰考网 Inc. 保留所有权利。 Powered by tikuer.com

页面耗时0.0586秒, 内存占用1.04 MB, Cache:redis,访问数据库19次