已知反应下列各种叙述中正确的是? A.加入催化剂同等程度加快正、逆反应的速率,加速达到平衡 B.升高温度使V正增加、V逆下降,将导致平衡向左移动 C...

作者: tihaiku 人气: - 评论: 0
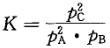
问题 已知反应下列各种叙述中正确的是? A.加入催化剂同等程度加快正、逆反应的速率,加速达到平衡 B.升高温度使V正增加、V逆下降,将导致平衡向左移动 C.增加压力使pA、pB增大,V正增大,而平衡左移 D.由于,随反应进行,pC逐渐增大,pA和pB逐渐减小,所以K逐渐增大
选项
答案 A
解析 提示:温度升高及加入催化剂能使正、逆反应速率都增加;增加压力平衡向分子总数减小的方向移动;平衡常数只是温度的函数,K式中的分压是反应达到平衡时各物质的平衡分压。

相关内容:反应,叙述,催化剂,程度,逆反应,速率,温度,移动

猜你喜欢

发表评论
更多 网友评论0 条评论)
暂无评论

Copyright © 2012-2014 恰考网 Inc. 保留所有权利。 Powered by tikuer.com

页面耗时0.0485秒, 内存占用1.04 MB, Cache:redis,访问数据库20次