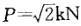
图示力P作用在BC杆的中点,且垂直BC杆。若,杆重不计。则杆AB内力S的大小为: A. 1kN B. 0.5kN C. 1.414kN D. 2kN

作者: tihaiku 人气: - 评论: 0
问题 图示力P作用在BC杆的中点,且垂直BC杆。若,杆重不计。则杆AB内力S的大小为: A. 1kN B. 0.5kN C. 1.414kN D. 2kN
选项
答案 B
解析 提示:研究整体,由方程∑mA = 0,求出FBy;再研究BC (包括C、B铰),由方程∑mc=0可得。

相关内容:中点,杆重,则杆,内力,大小,1.414kN

猜你喜欢

发表评论
更多 网友评论0 条评论)
暂无评论

Copyright © 2012-2014 恰考网 Inc. 保留所有权利。 Powered by tikuer.com

页面耗时0.0309秒, 内存占用1.04 MB, Cache:redis,访问数据库19次