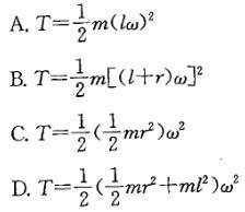
忽略质量的细杆OC=l,其端部固结匀质圆盘。杆上点C为圆盘圆心。盘质量为m,半径为r。系统以角速度ω绕轴O转动。系统的动能是:

作者: tihaiku 人气: - 评论: 0
问题 忽略质量的细杆OC=l,其端部固结匀质圆盘。杆上点C为圆盘圆心。盘质量为m,半径为r。系统以角速度ω绕轴O转动。系统的动能是:
选项
答案 D
解析 提示:圆盘绕轴O作定轴转动,其动能为T=1/2JOω2。

相关内容:质量,细杆,其端部,匀质,圆盘,圆心,半径,系统,角速度,绕轴,动能

猜你喜欢

发表评论
更多 网友评论0 条评论)
暂无评论

Copyright © 2012-2014 恰考网 Inc. 保留所有权利。 Powered by tikuer.com

页面耗时0.0484秒, 内存占用1.04 MB, Cache:redis,访问数据库20次