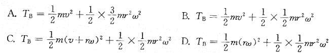
平板A以匀速v沿水平直线向右运动;质量为m、半径为r的均质圆轮B,在平板上以匀角速ω以顺时针方向沿水平直线滚而不滑(如图所示)。则圆轮的动能TB的表达式为...

作者: tihaiku 人气: - 评论: 0
问题 平板A以匀速v沿水平直线向右运动;质量为m、半径为r的均质圆轮B,在平板上以匀角速ω以顺时针方向沿水平直线滚而不滑(如图所示)。则圆轮的动能TB的表达式为下列哪一式?
选项
答案 C
解析 提示:应用刚体运动的动能公式计算。

相关内容:平板,水平,直线,运动,质量,半径,圆轮,匀角,方向,如图,动能,表达式

猜你喜欢

发表评论
更多 网友评论0 条评论)
暂无评论

Copyright © 2012-2014 恰考网 Inc. 保留所有权利。 Powered by tikuer.com

页面耗时0.0416秒, 内存占用1.05 MB, Cache:redis,访问数据库20次