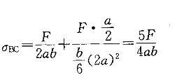
图示变截面短杆,AB段的压应力与BC段压应力的关系是: A. 比 大 1/4 ' B. 比小1/4 C.是的2倍 D. 是的 1/2

作者: tihaiku 人气: - 评论: 0
问题 图示变截面短杆,AB段的压应力与BC段压应力的关系是: A. 大 1/4 ' B. 小1/4 C.的2倍 D. 的 1/2
选项
答案 B
解析 提示:AB段是轴向受压, BC段是偏心受压,

相关内容:截面,短杆,应力,段压,关系,比小,是的

猜你喜欢

发表评论
更多 网友评论0 条评论)
暂无评论

Copyright © 2012-2014 恰考网 Inc. 保留所有权利。 Powered by tikuer.com

页面耗时0.0336秒, 内存占用1.04 MB, Cache:redis,访问数据库20次