两拉杆的材料和所受拉力相同,且均处在弹性范围内,若两杆长度相等,横截面面积义A1>A2,则:

作者: tihaiku 人气: - 评论: 0
问题 两拉杆的材料和所受拉力相同,且均处在弹性范围内,若两杆长度相等,横截面面积义A1>A2,则:
选项
答案 C
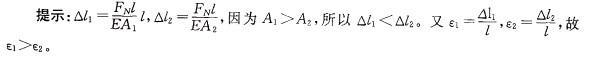
解析

相关内容:拉杆,材料,拉力,处在,弹性,两杆,长度,截面,面积

猜你喜欢

发表评论
更多 网友评论0 条评论)
暂无评论

Copyright © 2012-2014 恰考网 Inc. 保留所有权利。 Powered by tikuer.com

页面耗时0.0651秒, 内存占用1.03 MB, Cache:redis,访问数据库15次