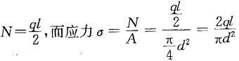
如图所示结构中,圆截面拉杆BD的直径为d,不计该杆的自重,则其横截面上的应力为:

作者: tihaiku 人气: - 评论: 0
问题 如图所示结构中,圆截面拉杆BD的直径为d,不计该杆的自重,则其横截面上的应力为:
选项
答案 B
解析 提示:拉杆BD受拉力

相关内容:如图,结构,截面,拉杆,直径,该杆,自重,其横截,面上,应力

猜你喜欢

发表评论
更多 网友评论0 条评论)
暂无评论

Copyright © 2012-2014 恰考网 Inc. 保留所有权利。 Powered by tikuer.com

页面耗时0.0522秒, 内存占用1.05 MB, Cache:redis,访问数据库20次