空心圆轴和实心圆轴的外径相同时,截面的抗扭截面模量较大的是: A.空心轴 B.实心轴 C. 一样大 D.不能确定

作者: tihaiku 人气: - 评论: 0
问题 空心圆轴和实心圆轴的外径相同时,截面的抗扭截面模量较大的是: A.空心轴 B.实心轴 C. 一样大 D.不能确定
选项
答案 B
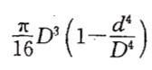
解析 提示:实心圆轴截面的抗扭截面模量WP1=D3,空心圆轴截面的抗扭截面模量WP2= ,当外径D相同时,显然WP1>WP2。

相关内容:空心,圆轴,外径,同时,抗扭,截面,模量

猜你喜欢

发表评论
更多 网友评论0 条评论)
暂无评论

Copyright © 2012-2014 恰考网 Inc. 保留所有权利。 Powered by tikuer.com

页面耗时0.0528秒, 内存占用1.04 MB, Cache:redis,访问数据库19次