两根圆轴,外径相同,轴1是实心的,轴2是空心的,当两轴承受相同扭矩时,关于两轴最大剪应力的正确说法是: A.相等 B.轴1大 C.轴2大 D.不可确定

作者: tihaiku 人气: - 评论: 0
问题 两根圆轴,外径相同,轴1是实心的,轴2是空心的,当两轴承受相同扭矩时,关于两轴最大剪应力的正确说法是: A.相等 B.轴1大 C.轴2大 D.不可确定
选项
答案 C
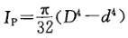
解析 提示:,由于轴2是空心的,,小于外径相同的实心轴,故轴2的最大剪应力大。

相关内容:圆轴,外径,空心,两轴,承受,扭矩,说法

猜你喜欢

发表评论
更多 网友评论0 条评论)
暂无评论

Copyright © 2012-2014 恰考网 Inc. 保留所有权利。 Powered by tikuer.com

页面耗时0.0362秒, 内存占用1.05 MB, Cache:redis,访问数据库20次