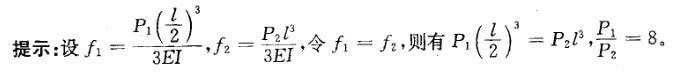
已知图示二梁的抗弯截面刚度EI相同,若二者自由端的挠度相等,则P1/P2为: A.2 B. 4 C. 8 D. 16

作者: tihaiku 人气: - 评论: 0
问题 已知图示二梁的抗弯截面刚度EI相同,若二者自由端的挠度相等,则P1/P2为: A.2 B. 4 C. 8 D. 16
选项
答案 C
解析

相关内容:二梁,抗弯,截面,刚度,挠度

猜你喜欢

发表评论
更多 网友评论0 条评论)
暂无评论

Copyright © 2012-2014 恰考网 Inc. 保留所有权利。 Powered by tikuer.com

页面耗时0.0451秒, 内存占用1.04 MB, Cache:redis,访问数据库20次