梁的截面尺寸扩大一倍,在其他条件不变的情况下,梁的强度是原来的多少倍? A. 2 B. 4 C. 8 D. 16

作者: tihaiku 人气: - 评论: 0
问题 梁的截面尺寸扩大一倍,在其他条件不变的情况下,梁的强度是原来的多少倍? A. 2 B. 4 C. 8 D. 16
选项
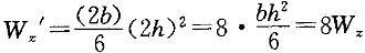
答案 C
解析 提示:以矩形截面为例,,梁的最大正应力相应减少为原来的1/8,强度是原来的8倍。

相关内容:截面,尺寸,条件,强度

猜你喜欢

发表评论
更多 网友评论0 条评论)
暂无评论

Copyright © 2012-2014 恰考网 Inc. 保留所有权利。 Powered by tikuer.com

页面耗时0.0286秒, 内存占用1.03 MB, Cache:redis,访问数据库14次