受力体一点处的应力状态如图所示,该点的最大主应力为: A. 70MPa B. 10MPa C. 40MPa D. 50MPa

作者: tihaiku 人气: - 评论: 0
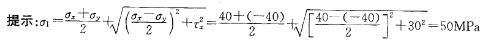
问题 受力体一点处的应力状态如图所示,该点的最大主应力为: A. 70MPa B. 10MPa C. 40MPa D. 50MPa
选项
答案 D
解析

相关内容:受力,应力,状态,如图,该点

猜你喜欢

发表评论
更多 网友评论0 条评论)
暂无评论

Copyright © 2012-2014 恰考网 Inc. 保留所有权利。 Powered by tikuer.com

页面耗时0.0390秒, 内存占用1.04 MB, Cache:redis,访问数据库19次