图示单元体中应力单位为MPa,则其最大剪应力为: A. 60 B.-60 C. 20 D.-20

作者: tihaiku 人气: - 评论: 0
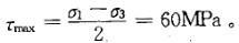
问题 图示单元体中应力单位为MPa,则其最大剪应力为: A. 60 B.-60 C. 20 D.-20
选项
答案 A
解析 提示:根据主应力的定义,显然σ1=80MPa,σ2=0,σ3=-40MPa,

相关内容:单元,应力,单位

猜你喜欢

发表评论
更多 网友评论0 条评论)
暂无评论

Copyright © 2012-2014 恰考网 Inc. 保留所有权利。 Powered by tikuer.com

页面耗时0.0337秒, 内存占用1.04 MB, Cache:redis,访问数据库19次