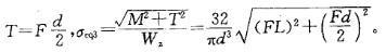
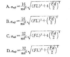
图示圆轴,在自由端圆周边界承受竖直向下的集中F,按第三强度理论,危险截面的相当应力σeq3为:

作者: tihaiku 人气: - 评论: 0
问题 图示圆轴,在自由端圆周边界承受竖直向下的集中F,按第三强度理论,危险截面的相当应力σeq3为:
选项
答案 D
解析 提示:把力F沿轴线z平移至圆轴截面中心,并加一个附加力偶,则使圆轴产生弯曲和扭转组合变形。最大弯矩M=Fl,最大扭矩

相关内容:圆轴,圆周,边界,承受,强度,理论,应力

猜你喜欢

发表评论
更多 网友评论0 条评论)
暂无评论

Copyright © 2012-2014 恰考网 Inc. 保留所有权利。 Powered by tikuer.com

页面耗时0.0355秒, 内存占用1.04 MB, Cache:redis,访问数据库19次