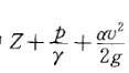
能量方程中表示下述哪种能量? A.单位重量流体的势能 B.单位重量流体的动能 C.单位重量流体的机械能 D.单位质量流体的机械能

作者: tihaiku 人气: - 评论: 0
问题 能量方程中表示下述哪种能量? A.单位重量流体的势能 B.单位重量流体的动能 C.单位重量流体的机械能 D.单位质量流体的机械能
选项
答案 C
解析 提示:参看能量方程的物理意义。

相关内容:能量,方程,单位,重量,流体,势能,动能,机械能,质量

猜你喜欢

发表评论
更多 网友评论0 条评论)
暂无评论

Copyright © 2012-2014 恰考网 Inc. 保留所有权利。 Powered by tikuer.com

页面耗时0.0769秒, 内存占用1.04 MB, Cache:redis,访问数据库19次