变直径圆管流,细断面直径d1,粗断面直径d2=2d1,粗细断面雷诺数的关系是: A. Re1=0. 5Re2 C. Re1 =1. 5Re2 B. R...

作者: tihaiku 人气: - 评论: 0
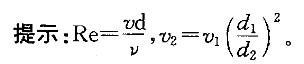
问题 变直径圆管流,细断面直径d1,粗断面直径d2=2d1,粗细断面雷诺数的关系是: A. Re1=0. 5Re2 C. Re1 =1. 5Re2 B. Re1=Re2 D. Re1 =2Re2
选项
答案 D
解析

相关内容:直径,圆管,断面,粗细,雷诺数,关系

猜你喜欢

发表评论
更多 网友评论0 条评论)
暂无评论

Copyright © 2012-2014 恰考网 Inc. 保留所有权利。 Powered by tikuer.com

页面耗时0.0315秒, 内存占用1.05 MB, Cache:redis,访问数据库18次