计算阻力系数的柯列布洛克(Coiebrook)公式,一般认为适用于什么区? A.仅适用于层流区 B.仅适用于光滑区 C.仅适用于过渡区 D.紊流光...

作者: tihaiku 人气: - 评论: 0
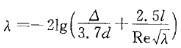
问题 计算阻力系数的柯列布洛克(Coiebrook)公式,一般认为适用于什么区? A.仅适用于层流区 B.仅适用于光滑区 C.仅适用于过渡区 D.紊流光滑区、过渡区、粗糖区均近似可用
选项
答案 D
解析 提示:参见工业粗糙管一节。

相关内容:阻力,系数,柯列,布洛克,Coiebrook,公式,适用于,什么区,层流区,光滑区,过渡区,流光

发表评论
更多 网友评论0 条评论)
暂无评论

Copyright © 2012-2014 恰考网 Inc. 保留所有权利。 Powered by tikuer.com

页面耗时0.0412秒, 内存占用1.04 MB, Cache:redis,访问数据库19次