某压力水管,直径d = 250mm,流量Q为3. 12X10-1 m3/s,沿程阻力系数λ= 0. 02,则管道的壁面处水流切应力τ0为: .A. 10...

作者: tihaiku 人气: - 评论: 0
问题 某压力水管,直径d = 250mm,流量Q为3. 12X10-1 m3/s,沿程阻力系数λ= 0. 02,则管道的壁面处水流切应力τ0为: .A. 101. 1N/m2 B. 110N/m2 C. 95. 1N/m2 D. 86. 2N/m2
选项
答案 A
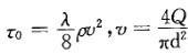
解析 提示:壁面切应力

相关内容:压力,水管,直径,流量,12X10-1,沿程,阻力,系数,管道,壁面处,水流,应力

猜你喜欢

发表评论
更多 网友评论0 条评论)
暂无评论

Copyright © 2012-2014 恰考网 Inc. 保留所有权利。 Powered by tikuer.com

页面耗时0.0426秒, 内存占用1.04 MB, Cache:redis,访问数据库19次