两根长度相同、沿程阻力系数相同的并联管道,其中管道直径之比,并联管分流点与汇流点之间的水头损失相同,则两管的通过流量之比Q1/Q2为: A. 4.0 B...

作者: tihaiku 人气: - 评论: 0
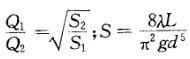
问题 两根长度相同、沿程阻力系数相同的并联管道,其中管道直径之比,并联管分流点与汇流点之间的水头损失相同,则两管的通过流量之比Q1/Q2为: A. 4.0 B. 8. 0 C. 6. 565 D. 5. 656
选项
答案 A
解析 提示:并联管流量之比与阻抗平方根成反比,

相关内容:长度,沿程,阻力,系数,并联,管道,直径,流点,水头,损失,两管,流量

猜你喜欢

发表评论
更多 网友评论0 条评论)
暂无评论

Copyright © 2012-2014 恰考网 Inc. 保留所有权利。 Powered by tikuer.com

页面耗时0.0554秒, 内存占用1.04 MB, Cache:redis,访问数据库20次