梯形断面水渠按均勻流设计,已知过水断面A= 5. 04m2,湿周x=6. 73m,粗糙系数n=0. 025,按曼宁公式计算谢才系数C为:

作者: tihaiku 人气: - 评论: 0
问题 梯形断面水渠按均勻流设计,已知过水断面A= 5. 04m2,湿周x=6. 73m,粗糙系数n=0. 025,按曼宁公式计算谢才系数C为:
选项
答案 D
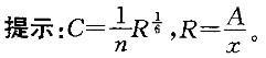
解析

相关内容:梯形,断面,水渠,勻流,设计,湿周,系数,按曼,公式

猜你喜欢

发表评论
更多 网友评论0 条评论)
暂无评论

Copyright © 2012-2014 恰考网 Inc. 保留所有权利。 Powered by tikuer.com

页面耗时0.0627秒, 内存占用1.03 MB, Cache:redis,访问数据库13次