一梯形断面的明渠,水力半径R=0. 8m,底坡i=0. 0006,粗糙系数n=0. 025,作均匀流时该渠的断面平均流速为: A. 0. 96m/s B...

作者: tihaiku 人气: - 评论: 0
问题 一梯形断面的明渠,水力半径R=0. 8m,底坡i=0. 0006,粗糙系数n=0. 025,作均匀流时该渠的断面平均流速为: A. 0. 96m/s B. 1. 0m/s C. 0. 84m/s D. 1. 2m/s
选项
答案 C
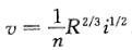
解析 提示:用谢才、曼宁公式:

相关内容:梯形,明渠,水力,半径,底坡,系数,流时,该渠,断面,流速

猜你喜欢

发表评论
更多 网友评论0 条评论)
暂无评论

Copyright © 2012-2014 恰考网 Inc. 保留所有权利。 Powered by tikuer.com

页面耗时0.0608秒, 内存占用1.04 MB, Cache:redis,访问数据库20次