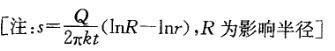
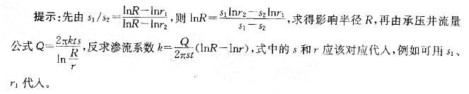
已知承压含水层的厚度t=7.5m,用完全井进行抽水试验,在半径r1=6m、 r2=24m处,测得相应的水头降落s1=0.76m,s2=0. 44m,井的出...

作者: tihaiku 人气: - 评论: 0
问题 已知承压含水层的厚度t=7.5m,用完全井进行抽水试验,在半径r1=6m、 r2=24m处,测得相应的水头降落s1=0.76m,s2=0. 44m,井的出流量Q=0. 01m3/s,则承压含水层的渗流系数k为: A. 9. 2X10-3 m/s B. 8. 2X10-4 m/s C. 9. 2X10-4 m/s D. 8. 2X10-3 m/s
选项
答案 C
解析

相关内容:承压,含水层,厚度,完全井,抽水,试验,半径,水头

猜你喜欢

发表评论
更多 网友评论0 条评论)
暂无评论

Copyright © 2012-2014 恰考网 Inc. 保留所有权利。 Powered by tikuer.com

页面耗时0.0281秒, 内存占用1.04 MB, Cache:redis,访问数据库18次