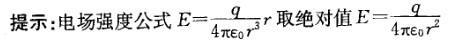
以点电荷q所在点为球心,距点电荷q的距离为r处的电场强度应为:

作者: tihaiku 人气: - 评论: 0
问题 以点电荷q所在点为球心,距点电荷q的距离为r处的电场强度应为:
选项
答案 B
解析

相关内容:点电荷,所在,球心,距离,电场,强度

猜你喜欢

发表评论
更多 网友评论0 条评论)
暂无评论

Copyright © 2012-2014 恰考网 Inc. 保留所有权利。 Powered by tikuer.com

页面耗时0.0473秒, 内存占用1.04 MB, Cache:redis,访问数据库20次