有三个100Ω的线性电阻接成Δ三相对称负载,然后挂接在电压为220V的三相对称电源,这时供电路上的电流为: A. 6. 6A B. 3. 8A C. 2...

作者: tihaiku 人气: - 评论: 0
问题 有三个100Ω的线性电阻接成Δ三相对称负载,然后挂接在电压为220V的三相对称电源,这时供电路上的电流为: A. 6. 6A B. 3. 8A C. 2. 2A D. 1. 3A
选项
答案 B
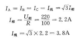
解析 提示:根据题意可画出三相电路图(见图),是个三角形接法的对称电路,各线电线IA、IB、IC 相同,即

相关内容:三个,线性,电阻,接成,负载,电压,电源,这时,供电,路上,电流

猜你喜欢

发表评论
更多 网友评论0 条评论)
暂无评论

Copyright © 2012-2014 恰考网 Inc. 保留所有权利。 Powered by tikuer.com

页面耗时0.0464秒, 内存占用1.04 MB, Cache:redis,访问数据库20次