利用DJ6经纬仪观测水平角,要使角度平均值中误差不大于3",应观测几个测回? A. 2 B.4 C. 6 D. 8

作者: tihaiku 人气: - 评论: 0
问题 利用DJ6经纬仪观测水平角,要使角度平均值中误差不大于3",应观测几个测回? A. 2 B.4 C. 6 D. 8
选项
答案 D
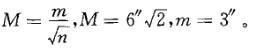
解析 提示:

相关内容:利用,经纬仪,观测,平角,角度,平均值,误差,测回

猜你喜欢

发表评论
更多 网友评论0 条评论)
暂无评论

Copyright © 2012-2014 恰考网 Inc. 保留所有权利。 Powered by tikuer.com

页面耗时0.0270秒, 内存占用1.04 MB, Cache:redis,访问数据库19次