拟测设距离D=49. 550m,两点间坡度均匀,高差为1.686m,丈量时的温度为27°C,所用的钢尺的尺长方程式为lt=30m+0. 004m+0. 0...

作者: tihaiku 人气: - 评论: 0
问题 拟测设距离D=49. 550m,两点间坡度均匀,高差为1.686m,丈量时的温度为27°C,所用的钢尺的尺长方程式为lt=30m+0. 004m+0. 0000125(t-20) X 30m,则测设时在地面上应量多少? A. 49. 546m B. 49. 571m C. 49. 531m D. 49. 568m
选项
答案 D
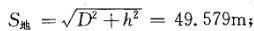
解析 提示:30m钢尺的实际长度:lt=30+0. 004m+0. 0000125(27-20) X 30m= 30. 007m ;地面上的应丈量距离为:地面上的钢尺量距读数为:S尺=

相关内容:拟测,距离,坡度,高差,1.686m,温度,钢尺,尺长,方程式,30m+0.,004m+0.

猜你喜欢

发表评论
更多 网友评论0 条评论)
暂无评论

Copyright © 2012-2014 恰考网 Inc. 保留所有权利。 Powered by tikuer.com

页面耗时0.0519秒, 内存占用1.04 MB, Cache:redis,访问数据库20次