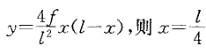
已知图示三铰拱的轴线方程为的截面K的弯矩为:

作者: tihaiku 人气: - 评论: 0
问题 已知图示三铰拱的轴线方程为的截面K的弯矩为:
选项
答案 B
解析 提示:用合理拱轴概念判断。

相关内容:三铰,轴线,方程,截面,弯矩

猜你喜欢

发表评论
更多 网友评论0 条评论)
暂无评论

Copyright © 2012-2014 恰考网 Inc. 保留所有权利。 Powered by tikuer.com

页面耗时0.0342秒, 内存占用1.04 MB, Cache:redis,访问数据库17次