无腹筋钢筋混凝土梁沿斜截面的抗剪承载力与剪跨比的关系是: A.随剪跨比的增加而提高 B.随剪跨比的增加而降低 C.在一定范围内随剪跨比的增加而提高 ...

作者: tihaiku 人气: - 评论: 0
问题 无腹筋钢筋混凝土梁沿斜截面的抗剪承载力与剪跨比的关系是: A.随剪跨比的增加而提高 B.随剪跨比的增加而降低 C.在一定范围内随剪跨比的增加而提高 D.在一定范围内随剪跨比的增加而降低
选项
答案 D
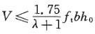
解析 提示:由公式,当λ3时,取λ=3。

相关内容:无腹,钢筋混凝土,梁沿斜,抗剪,承载力,剪跨,关系,随剪

猜你喜欢

发表评论
更多 网友评论0 条评论)
暂无评论

Copyright © 2012-2014 恰考网 Inc. 保留所有权利。 Powered by tikuer.com

页面耗时0.0328秒, 内存占用1.04 MB, Cache:redis,访问数据库20次