某岩基条形刚性基础上作用有1000kN/m的荷载,基础埋深1m,宽0. 5m,岩基变形模量400MPa,泊松比为0. 2,则该基础沉降量为: A. 4....

作者: tihaiku 人气: - 评论: 0
问题 某岩基条形刚性基础上作用有1000kN/m的荷载,基础埋深1m,宽0. 5m,岩基变形模量400MPa,泊松比为0. 2,则该基础沉降量为: A. 4. 2mm B. 5. 1mm C. 6. 0mm D. 6. 6mm
选项
答案 D
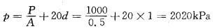
解析 提示:先求基地压力P(取1m长度分析) 代入条形刚性基础沉降计算公式,沉降系数取2. 72。

相关内容:某岩,条形,刚性,作用,1000kN,荷载,基础,埋深,岩基,模量,400MPa,泊松

猜你喜欢

发表评论
更多 网友评论0 条评论)
暂无评论

Copyright © 2012-2014 恰考网 Inc. 保留所有权利。 Powered by tikuer.com

页面耗时0.0338秒, 内存占用1.04 MB, Cache:redis,访问数据库19次