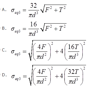
图示直径为d的圆轴,承受轴向拉力F和扭矩T。按第三强度理论,截面危险的相当应力σeq3为(  )。

作者: tihaiku 人气: - 评论: 0
问题 图示直径为d的圆轴,承受轴向拉力F和扭矩T。按第三强度理论,截面危险的相当应力σeq3为(  )。
选项
答案 C
解析 由第三强度理论得: 其中σ=4F/(πd^2)、τ=T/Wt=16T/(πd^3)。

相关内容:直径,圆轴,承受,拉力,扭矩,强度,理论,截面,应力

猜你喜欢

发表评论
更多 网友评论0 条评论)
暂无评论

Copyright © 2012-2014 恰考网 Inc. 保留所有权利。 Powered by tikuer.com

页面耗时0.0261秒, 内存占用1.04 MB, Cache:redis,访问数据库18次