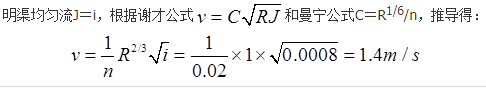
一梯形断面明渠,水力半径R=1m,底坡i=0.0008,粗糙系数n=0.02,则输水流速度为(  )。A. 1m/s B. 1.4m/s C. 2...

作者: tihaiku 人气: - 评论: 0
问题 一梯形断面明渠,水力半径R=1m,底坡i=0.0008,粗糙系数n=0.02,则输水流速度为(  )。
选项 A. 1m/s B. 1.4m/s C. 2.2m/s D. 0.84m/s
答案 B
解析

相关内容:梯形,断面,明渠,水力,半径,底坡,0.0008,系数,水流,速度

猜你喜欢

发表评论
更多 网友评论0 条评论)
暂无评论

Copyright © 2012-2014 恰考网 Inc. 保留所有权利。 Powered by tikuer.com

页面耗时0.0310秒, 内存占用1.03 MB, Cache:redis,访问数据库17次