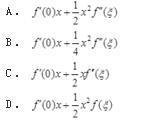
设f(x)在区间[-a,a](a>0)上具有二阶连续导数,f(0)=0。f(x)的带拉格朗日余项的一阶麦克劳林公式为(  )。

作者: tihaiku 人气: - 评论: 0
问题 设f(x)在区间[-a,a](a>0)上具有二阶连续导数,f(0)=0。f(x)的带拉格朗日余项的一阶麦克劳林公式为(  )。
选项
答案 A
解析

猜你喜欢

发表评论
更多 网友评论0 条评论)
暂无评论

Copyright © 2012-2014 恰考网 Inc. 保留所有权利。 Powered by tikuer.com

页面耗时0.0374秒, 内存占用1.01 MB, Cache:redis,访问数据库20次