由抛物线y=x2与三直线x=a,x=a+1,y=0所围成的平面图形,a为下列(  )值时图形的面积最小。

作者: tihaiku 人气: - 评论: 0
问题 由抛物线y=x2与三直线x=a,x=a+1,y=0所围成的平面图形,a为下列(  )值时图形的面积最小。
选项
答案 B
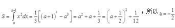
解析 平面图形的面积 时图形面积最小。

相关内容:抛物线,直线,平面,图形,值时,面积

猜你喜欢

发表评论
更多 网友评论0 条评论)
暂无评论

Copyright © 2012-2014 恰考网 Inc. 保留所有权利。 Powered by tikuer.com

页面耗时0.0307秒, 内存占用1.04 MB, Cache:redis,访问数据库17次