圆管层流流动沿程损失与速度大小v的关系是(  )。A.与v成正比 B.与v2成正比 C.与v成反比 D.不确定

作者: tihaiku 人气: - 评论: 0
问题 圆管层流流动沿程损失与速度大小v的关系是(  )。
选项 A.与v成正比 B.与v2成正比 C.与v成反比 D.不确定
答案 A
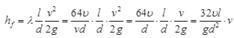
解析 由达西公式: 可知:圆管层流流动沿程损失与速度大小v成正比。

相关内容:圆管,层流,流动,沿程,损失,速度,大小,关系

猜你喜欢

发表评论
更多 网友评论0 条评论)
暂无评论

Copyright © 2012-2014 恰考网 Inc. 保留所有权利。 Powered by tikuer.com

页面耗时0.0365秒, 内存占用1.04 MB, Cache:redis,访问数据库19次