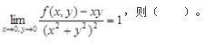
已知函数f(x,y)在点(0,0)的某个邻域内连续,且 A.点(0,0)不是f(x,y)的极值点 B.点(0,0)是f(x,y)的极大值点 C.点(...

作者: tihaiku 人气: - 评论: 0
问题 已知函数f(x,y)在点(0,0)的某个邻域内连续,且
选项 A.点(0,0)不是f(x,y)的极值点 B.点(0,0)是f(x,y)的极大值点 C.点(0,0)是f(x,y)的极小值点 D.根据所给条件无法判断点(0,0)是否为f(x,y)的极值点
答案 A
解析 由题设,容易推知f(0,0)=0,因此点(0,0)是否为f(x,y)的极值,关键看在点(0,0)的充分小的邻域内f(x,y)是恒大于零、恒小于零还是变号。

猜你喜欢

发表评论
更多 网友评论0 条评论)
暂无评论

Copyright © 2012-2014 恰考网 Inc. 保留所有权利。 Powered by tikuer.com

页面耗时0.0584秒, 内存占用1.04 MB, Cache:redis,访问数据库19次